考研数学:求极限的21个方法总结(2)
2019/6/11 10:40:42
来源: 网络
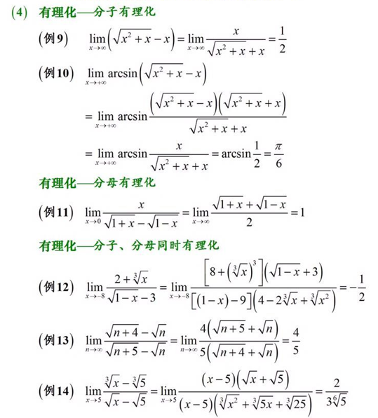
求极限是每年必考点之一,求极限的方法有很多,大家复习的时候要好好掌握,海天考研网给大家总结求极限的21个方法:


热门推荐





